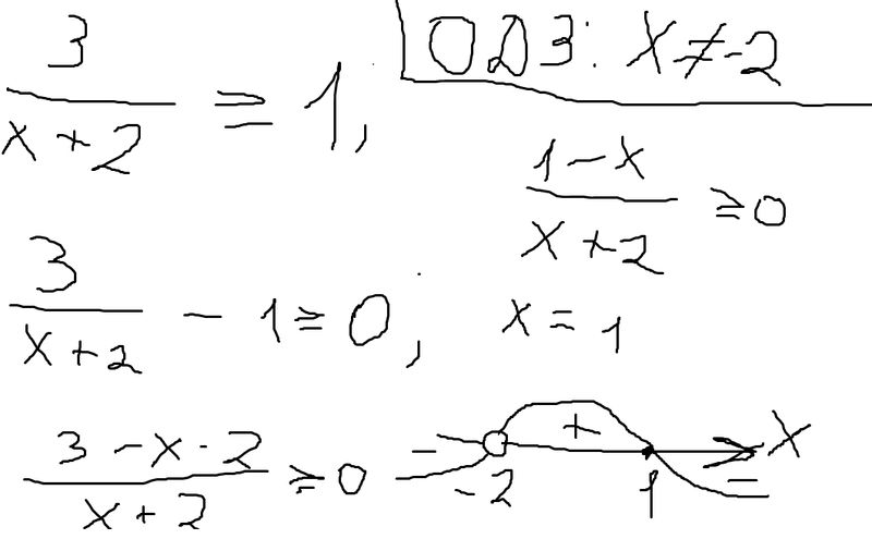
2.Найдите сумму целочисленных решений неравенства 3/(х+2)≥1.

30 Июн 2019 в 19:40
1 349 +1
1
Ответы
1

P.S. x не может быть равним -2 так как знаменатель будет равен 0 а на него нельзя делить.

Целыми решениями будут числа -1 0 1. Их сумма равна 0

1 Июл 2019 в 09:55
Не можешь разобраться в этой теме?
Обратись за помощью к экспертам
Гарантированные бесплатные доработки в течение 1 года
Быстрое выполнение от 2 часов
Проверка работы на плагиат
Поможем написать учебную работу
Прямой эфир