Сума двух чисел равна 980, а разность их равна 150. Найдите эти числа.

15 Июл 2019 в 19:40
132 +1
0
Ответы
1

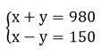
Примем одно число за х, другое за у, и составим систему уравнений:

х = 980-у

980-у-у=150

2у = 830

у = 415

х = 980 - 415 = 565

Ответ: эти два числа 565 и 415.

23 Июл 2019 в 11:30
Не можешь разобраться в этой теме?
Обратись за помощью к экспертам
Гарантированные бесплатные доработки в течение 1 года
Быстрое выполнение от 2 часов
Проверка работы на плагиат
Поможем написать учебную работу
Прямой эфир