Средняя квадратическая погрешность сокращенноСКПсокращенно СКПсокращенноСКП – величина, благодаря которой определяется точность итогов измерений или функция уже измеренных величин, являясь вероятностной характеристикой.
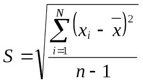
Средняя квадратическая ошибка погрешностьпогрешностьпогрешность измерений – это корень квадратный из арифметического среднего квадратов истинных погрешностей и вычисляется по формуле:
Поскольку истинное значение измеряемой величины Х не известно, то среднюю квадратическую погрешность m вычисляют по уклонениям
Анализ кривой нормального распределения Гаусса показывает, что при достаточно большом числе измерений одной и той же величины случайная погрешность измерения может быть:
Больше средней квадратической m в 32 случаях из 100;
Больше удвоенной средней квадратической 2m в 5 случаях из 100;
Больше утроенной средней квадратической 3m в 3 случаях из 1000.
Средняя квадратическая погрешность сокращенноСКПсокращенно СКПсокращенноСКП – величина, благодаря которой определяется точность итогов измерений или функция уже измеренных величин, являясь вероятностной характеристикой.
Средняя квадратическая ошибка погрешностьпогрешностьпогрешность измерений – это корень квадратный из арифметического среднего квадратов истинных погрешностей и вычисляется по формуле:
Поскольку истинное значение измеряемой величины Х не известно, то среднюю квадратическую погрешность m вычисляют по уклонениям
Анализ кривой нормального распределения Гаусса показывает, что при достаточно большом числе измерений одной и той же величины случайная погрешность измерения может быть:
Больше средней квадратической m в 32 случаях из 100;
Больше удвоенной средней квадратической 2m в 5 случаях из 100;
Больше утроенной средней квадратической 3m в 3 случаях из 1000.