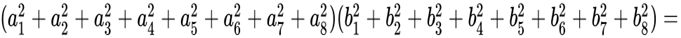
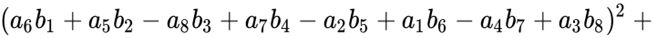
Тождество восьми квадратов - математическая теорема о том, что
произведение сумм восьми квадратов само является суммой восьми квадратов. Тождество
восьми квадратов/рамка Действительно:
Впервые открытое датским математиком Фердинандом Дегеном около 1818 года, это
замечательное тождество было «переокрыто» ещё два раза: сначала Томасом Грейвсом
в 1843, а затем Артуром Кэли в 1845. Кэли вывел его, работая над обобщением кватернионов,
названным октонионами. В алгебраических терминах тождество означает,
что норма произведения двух октонионов равняется произведению их
норм:
. Подобное утверждение верно для кватернионов
(«тождество четырёх квадратов»), комплексных чисел («тождество двух квадратов») и
действительных чисел. В 1898 году Гурвиц (Hurwitz) доказал, что подобного тождества не
существует ни для 16 (седенионы), ни для любого другого числа квадратов, кроме 1, 2, 4 и 8.
Тождество восьми квадратов - математическая теорема о том, что
произведение сумм восьми квадратов само является суммой восьми квадратов. Тождество
восьми квадратов/рамка Действительно:
Впервые открытое датским математиком Фердинандом Дегеном около 1818 года, это
замечательное тождество было «переокрыто» ещё два раза: сначала Томасом Грейвсом
в 1843, а затем Артуром Кэли в 1845. Кэли вывел его, работая над обобщением кватернионов,
названным октонионами. В алгебраических терминах тождество означает,
что норма произведения двух октонионов равняется произведению их
норм:
. Подобное утверждение верно для кватернионов
(«тождество четырёх квадратов»), комплексных чисел («тождество двух квадратов») и
действительных чисел. В 1898 году Гурвиц (Hurwitz) доказал, что подобного тождества не
существует ни для 16 (седенионы), ни для любого другого числа квадратов, кроме 1, 2, 4 и 8.