Из 24 участников собрания надо выбрать председателя, его заместителя и секретаря. Сколькими способами это можно сделать?

18 Мар 2019 в 19:43
11 493 +1
0
Ответы
1

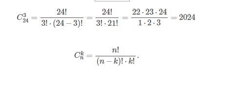
Это число есть количество всех возможных сочетаний из 24 по 3.

В формулу подставляем n = 24 и k = 3.

Ответ: выбрать 3 человек из 24 можно 2024 способами.

20 Мар 2019 в 10:13
Не можешь разобраться в этой теме?
Обратись за помощью к экспертам
Гарантированные бесплатные доработки в течение 1 года
Быстрое выполнение от 2 часов
Проверка работы на плагиат
Поможем написать учебную работу
Прямой эфир