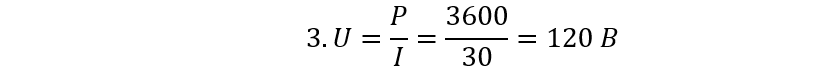
1. Электрический паяльник рассчитан на напряжение 220 В и силу тока 0,2 А. Вычислите мощность тока в паяльнике. 2.Электрические лампы сопротивлением 200Ом и 300 Ом соединены параллельно. Вычислите их общее сопротивление 3. В электрическом двигателе сила тока 30 А. При мощности тока 3,6 кВт. Вычислите напряжение на электродвигателе. 4.Какая работа совершается током в цепи сопротивлением 4 Ом при силе тока 5 А за время, равное 5 мин? 5. Напряжение на зажимах генератора 380 В, а сила тока в цепи 5 А. Определите мощность генератора. 6.Определите напряжение на медном проводнике с поперечным сечением 1,5 мм2 и длиной 3 м, подводящем ток к плитке, если сила тока в спирали 5 А

5 Мар 2019 в 19:41
684 +1
0
Ответы
4

27 Окт 2020 в 03:19

27 Окт 2020 в 03:19

27 Окт 2020 в 03:25

27 Окт 2020 в 03:25
Не можешь разобраться в этой теме?
Обратись за помощью к экспертам
Гарантированные бесплатные доработки в течение 1 года
Быстрое выполнение от 2 часов
Проверка работы на плагиат
Поможем написать учебную работу
Прямой эфир