Определить степень окисления азота в амиде кальция Ca (NH2)2

26 Июл 2020 в 19:42
1 633 +1
1
Ответы
1

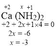
Степень окисления азота в амиде кальция Ca (NH2)2 вычисляем по правилу єлектронейтральности молекулы:

Ответ степень окисления азота в амиде кальция равна -3.

27 Июл 2020 в 15:38
Не можешь разобраться в этой теме?
Обратись за помощью к экспертам
Гарантированные бесплатные доработки в течение 1 года
Быстрое выполнение от 2 часов
Проверка работы на плагиат
Поможем написать учебную работу
Прямой эфир