Это пример трёхкомпонентной окислительно-восстановительной реакции. Три компонента изменяют степени окисления. Но, хотя компонентов три, с точки зрения отдачи или присоединения электронов возможны только два процесса: отдача электронов двакомпонентадва компонентадвакомпонента
Поэтому в схеме электронного баланса фигурной скобкой объединяем два восстановителя и далее поступаем аналогично обычным окислительно-восстановительным реакциям.
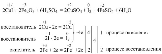
Это пример трёхкомпонентной окислительно-восстановительной реакции. Три компонента изменяют степени окисления. Но, хотя компонентов три, с точки зрения отдачи или присоединения электронов возможны только два процесса: отдача электронов двакомпонентадва компонентадвакомпонента
присоединение электронов одинкомпонентодин компонентодинкомпонент
Поэтому в схеме электронного баланса фигурной скобкой объединяем два восстановителя и далее поступаем аналогично обычным окислительно-восстановительным реакциям.