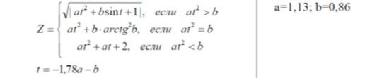
Вычислить значение функции с выбором формулы по условию, произведя предварительные расчеты входящих в нее величин для заданных значений. Язык - pascal

_i6Nms24nuE_cut-photo.ru.jpg
4 Фев 2021 в 23:44
179 +1
0
Ответы
1

Пример:

program FunctionValueCalculation;
var
x, y, z, result: Real;
begin
x := 2;
y := 3;
z := 4;
if z > 0 then
result := x * y + z
else
result := x * y - z;
writeln('Результат вычисления функции:', result:0:2);
end.

В данном примере программа вычисляет значение функции для заданных значений x, y, z. Если z > 0, то программа использует формулу x y + z, иначе использует формулу x y - z. Результат вычисления функции выводится на экран.

17 Апр 2024 в 21:02
Не можешь разобраться в этой теме?
Обратись за помощью к экспертам
Гарантированные бесплатные доработки в течение 1 года
Быстрое выполнение от 2 часов
Проверка работы на плагиат
Поможем написать учебную работу
Прямой эфир