Определённый интеграл
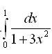
Вычислить интеграл
Применив метод непосредственного интегрирования или метод подстановки

Screen-009.jpg
22 Мая 2023 в 14:47
74 +1
0
Ответы
1

Нам нужно знать конкретный интеграл, чтобы вычислить его. Пожалуйста, укажите функцию, для которой нужно вычислить определенный интеграл, и пределы интегрирования. Спасибо.

16 Апр 2024 в 16:14
Не можешь разобраться в этой теме?
Обратись за помощью к экспертам
Гарантированные бесплатные доработки в течение 1 года
Быстрое выполнение от 2 часов
Проверка работы на плагиат
Поможем написать учебную работу
Прямой эфир