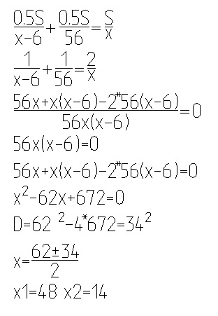
Задание из ОГЭ Из А в В од­но­вре­мен­но вы­еха­ли два ав­то­мо­би­ли­ста. Пер­вый про­ехал с по­сто­ян­ной ско­ро­стью весь путь. Вто­рой про­ехал первую по­ло­ви­ну пути со ско­ро­стью, меньшей скорости первого автомобилиста на 6 км/ч, а вто­рую по­ло­ви­ну пути про­ехал со ско­ро­стью 56 км/ч, в ре­зуль­та­те чего при­был в В од­но­вре­мен­но с пер­вым ав­то­мо­би­ли­стом. Най­ди­те ско­рость пер­во­го ав­то­мо­би­ли­ста, если известно, что она больше 45 км/ч

10 Фев 2020 в 19:49
150 +1
0
Ответы
1

11 Фев 2020 в 10:25
Не можешь разобраться в этой теме?
Обратись за помощью к экспертам
Гарантированные бесплатные доработки в течение 1 года
Быстрое выполнение от 2 часов
Проверка работы на плагиат
Поможем написать учебную работу
Прямой эфир