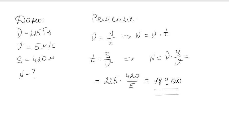
Задание по физике Крылья комара колеблются с частотой 225 Гц. Определи, сколько взмахов крыльями сделает комар, пока долетит со скоростью 5 м/с до болота, расположенного на расстоянии 420 м. (Промежуточный результат вычислений округли до тысячных, ответ округли до целых!) ОТВЕТ: ? ВЗМАХОВ

2 Мар 2022 в 19:41
308 +1
1
Ответы
1

3 Мар 2022 в 09:56
Не можешь разобраться в этой теме?
Обратись за помощью к экспертам
Гарантированные бесплатные доработки в течение 1 года
Быстрое выполнение от 2 часов
Проверка работы на плагиат
Поможем написать учебную работу
Прямой эфир