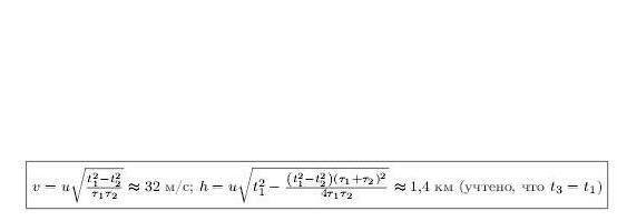
Экспериментатор Глюк наблюдал с безопасного расстоя-
ния за движением грозовой тучи. Увидев первую молнию, он засёк время и обнаружил, что
услышал гром от неё только через t1 = 20 с. Через τ1 = 3 мин после первой вспышки произо-
шла вторая, а гром грянул с опозданием на t2 = 5 с. Подождав ещё τ2 = 4 мин после второй
вспышки, Глюк увидел, как сверкнула последняя молния, и услышал звук грома от неё через
t3 = 20 с. Предполагая, что туча двигалась с постоянной скоростью, определите скорость v её
движения и минимальное расстояние h от Глюка за время наблюдения. Скорость звука в воз-
духе u ≈ 330 м/с, скорость света c = 3 · 10^8 м/с.

13 Авг 2019 в 19:43
1 019 +1
-1
Ответы
2

Пожалуйста мне нужно твоё помощь ю.Решу мое задачи.

14 Янв 2020 в 10:38

моя твоя понимать

14 Янв 2020 в 10:51

Реши аоововлслвтиылчлчьтвтв

14 Янв 2020 в 10:38
Не можешь разобраться в этой теме?
Обратись за помощью к экспертам
Гарантированные бесплатные доработки в течение 1 года
Быстрое выполнение от 2 часов
Проверка работы на плагиат
Поможем написать учебную работу
Прямой эфир