Развернутое решение уравнения Записать уравнение прямой, которая проходит через точку А(-1;3)
параллельно вектору m =(1;2).

11 Окт 2022 в 19:41
118 +1
0
Ответы
1

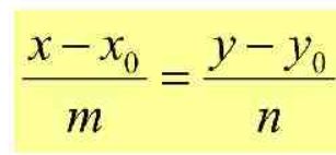
общее уравнение прямой, проходящей через заданную точку в заданном направлении, имеет вид

(x-(-1))/1=(y-3)/2

x+1=(y-3)/2

2x+2=y-3

y=2x+5

12 Окт 2022 в 12:31
Не можешь разобраться в этой теме?
Обратись за помощью к экспертам
Гарантированные бесплатные доработки в течение 1 года
Быстрое выполнение от 2 часов
Проверка работы на плагиат
Поможем написать учебную работу
Прямой эфир