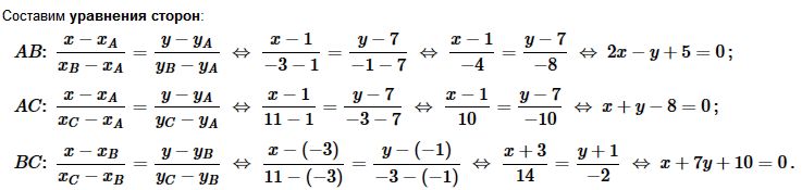
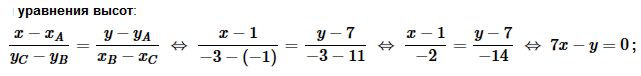
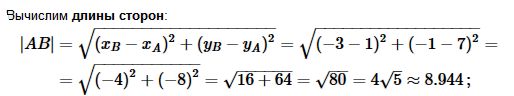
Известны координаты вершин треугольника АВС: А(1;7); В(-3; -1); С(11;-3). Найти:1) уравнения всех сторон в общем виде;2) уравнение высоты AN1 в общем виде;3) расстояние от точки С до прямой АВ ;4) уравнение прямой СС1, проходящей параллельно АВ;5) длину стороны АВ.

3 Авг 2019 в 19:42
618 +1
0
Ответы
3

4 Авг 2019 в 11:40

4 Авг 2019 в 11:42

4 Авг 2019 в 11:43
Не можешь разобраться в этой теме?
Обратись за помощью к экспертам
Гарантированные бесплатные доработки в течение 1 года
Быстрое выполнение от 2 часов
Проверка работы на плагиат
Поможем написать учебную работу
Прямой эфир