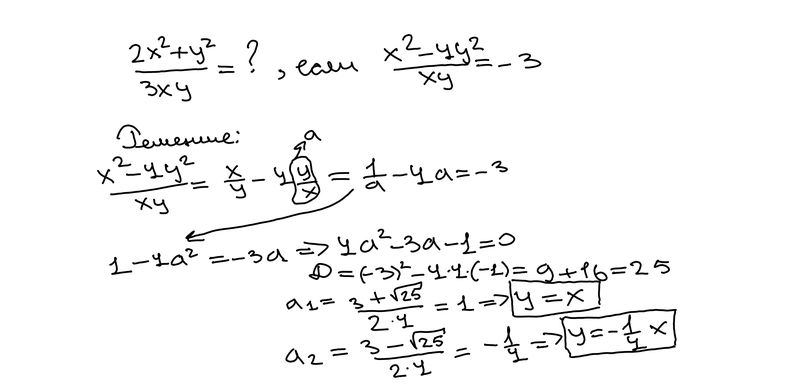
Найти значение выражения (2x^2 + y^2)/3xy если (x^2 - 4y^2)/xy =-3

11 Авг 2019 в 19:42
198 +1
2
Ответы
1
Лучший ответ

Для того что бы найти значение данного выражения достаточно подобрать x и y удовлетворяющими одному из условий обведенных в прямоугольник и таких что x не равно нулю и y не равно нулю. Беря первое условие и y=x=1, находим:

(2x^2 + y^2)/3xy=1

12 Авг 2019 в 19:05
Не можешь разобраться в этой теме?
Обратись за помощью к экспертам
Гарантированные бесплатные доработки в течение 1 года
Быстрое выполнение от 2 часов
Проверка работы на плагиат
Поможем написать учебную работу
Прямой эфир