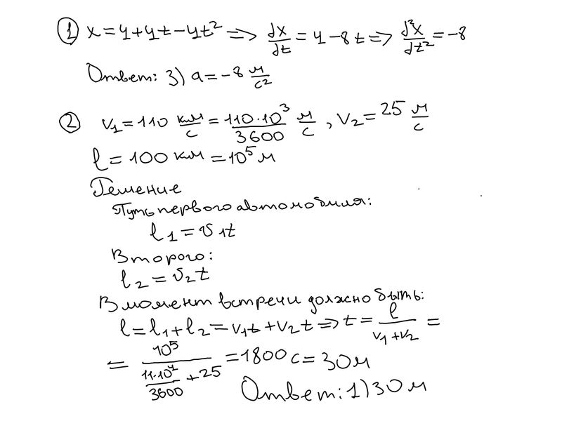
1. Ускорение материальной точки, движущейся вдоль оси Х согласно уравнению x = 4+4t -4t² равно 1)4 м/с² 2)- 4 м/с² 3)-8 м/с² 4)8 м/с² 2.Из пункта А в пункт В, расстояние между которыми 100км навстречу друг другу выехали два автомобиля со скоростями 110км/ч и 25м/с. Автомобили встретятся через 1) 30 мин 2) 74 мин 3) 37 мин 4) 54 мин

12 Июн 2019 в 19:45
2 260 +1
0
Ответы
1

13 Июн 2019 в 16:19
Не можешь разобраться в этой теме?
Обратись за помощью к экспертам
Гарантированные бесплатные доработки в течение 1 года
Быстрое выполнение от 2 часов
Проверка работы на плагиат
Поможем написать учебную работу
Прямой эфир