Сделаем чертеж (к концам хорды проведем два радиуса)
Получили равнобедренный треугольник.
Чтобы найти расстояние от центра круга до хорды, нужно найти высоту полученного треугольника из центра круга.
И по специальной формуле вычислить высоту, где а = 10, b = 12
Получили расстояние от центра круга до хорды
Существует еще несколько других способов данной задачи, но данный, по моему мнению, наиболее рациональный.
Сделаем чертеж (к концам хорды проведем два радиуса)
Получили равнобедренный треугольник.
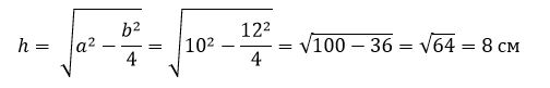
Чтобы найти расстояние от центра круга до хорды, нужно найти высоту полученного треугольника из центра круга.
И по специальной формуле вычислить высоту, где а = 10, b = 12
Получили расстояние от центра круга до хорды
Существует еще несколько других способов данной задачи, но данный, по моему мнению, наиболее рациональный.