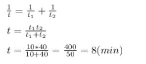
По идее для чайника не должно быть разницы по времени, для разных типов подключения параллельно или последовательно, в целом решение
По идее для чайника не должно быть разницы по времени, для разных типов подключения параллельно или последовательно, в целом решение