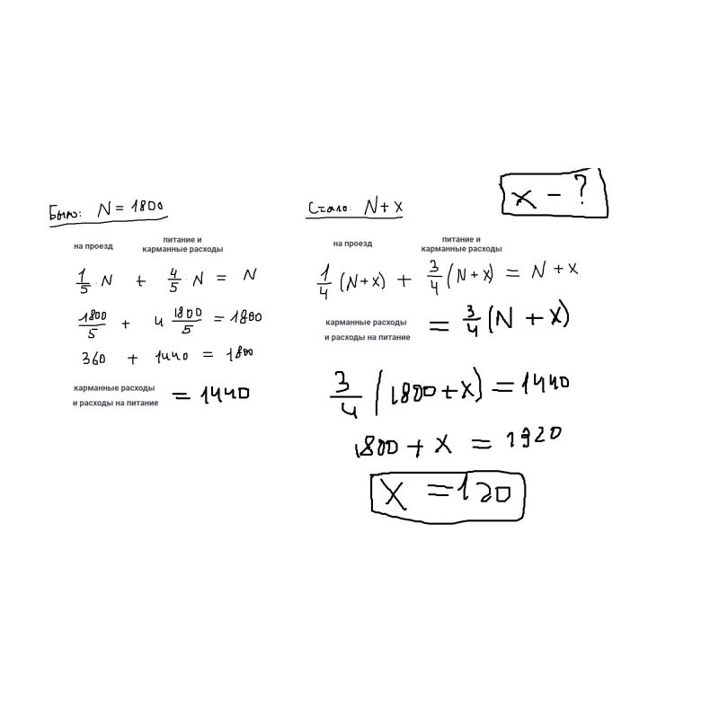
Сколько денег мама должна добавить сыну? Задача 3.16* . Мама даёт Фёдору 1800 руб. в неделю на проезд, питание и карманные расходы. На проезд Фёдор тратит 1/5 часть полученных от мамы денег. Со следующего месяца проезд в транспорте подорожает, и Фёдор будет тратить на транспорт 1/4 часть получаемых от мамы денег. Сколько денег мама должна добавить сыну, чтобы его карманные расходы и расходы на питание остались такими же, как и до повышения цен на транспорт?
Ей нужно добавить 120р, чтобы расходы остались 1440рублей(на том же уровне)
Ответ: 120р